| Sample Linked Report |
| Impact of Patient Characteristics on Lung Cancer Survival1 |
| Days-to-Failure | ||||||
|---|---|---|---|---|---|---|
| Characteristic | Level | N | Mean | Std. Err. | p-value2 | Survival Plot |
| Cell Type | adeno | 27 | 65.6 | 10.13 | 0.0000 | graph |
| large | 27 | 170.5 | 25.10 | |||
| small | 48 | 79.0 | 14.84 | |||
| squamous | 35 | 230.2 | 48.47 | |||
| Karnofsky Index | ≤50 | 52 | 62.6 | 13.18 | 0.0000 | graph |
| 60-70 | 50 | 159.8 | 28.04 | |||
| 80-100 | 35 | 195.4 | 34.75 | |||
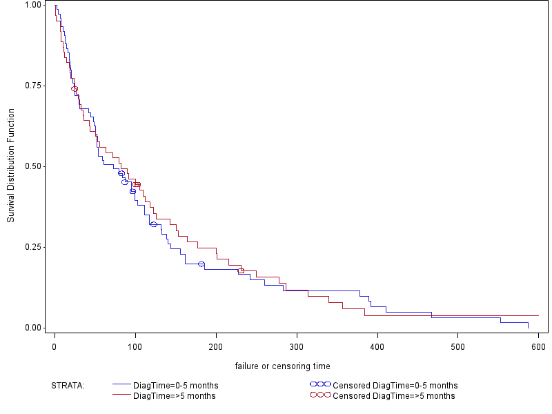
| Months to Randomization | ≤5 months | 75 | 123.2 | 16.83 | 0.7200 | graph |
| >5 months | 62 | 144.4 | 27.19 | |||
| Age | <65 years | 93 | 151.3 | 21.36 | 0.0737 | graph |
| ≥65 years | 44 | 94.3 | 15.24 | |||
| Prior Treatment? | No | 97 | 120.7 | 13.75 | 0.4789 | graph |
| Yes | 40 | 164.1 | 41.50 | |||
| Treatment Indicator | Standard | 69 | 123.9 | 14.96 | 0.9277 | graph |
| Test | 68 | 142.1 | 27.02 | |||
| Notes: 1. VA Lung Cancer Data (from SAS/Stat documentation) 2. Results from Kaplan-Meier Log-Rank test |
||||||